Com Resoldre una Equació de Segon Grau?

Publicado el 12 de agosto de 2023, 18:34

Les equacions de segon grau són polinomis (expressions matemàtiques) que tenen, com a variable més gran, una incògnita elevada a dos. En altres paraules: l'exponent de les variables més gran és 2.

Depenent de la forma que tingui l'equació, hi ha diferents maneres de resoldre-ho.


Equació de segon grau completa

Per resoldre aquesta equació cal seguir la fórmula de la imatge.  Cal constatar quina lletra és quina. El primer pas és ordenar cada un dels monomis del polinomi, segons el seu grau, de gran a petit. Un cop realitzat això, s'han de substituir les lletres de la fórmula pels nombres corresponents.  La “a” és el nombre que acompanya la variable amb l'exponent més gran. La “b” és el número que acompanya la incògnita elevada a 1. La “c” és el terme independent.

És important agafar únicament el valor numèric, ignorant la lletra.

Heu de tenir en compte que aquesta fórmula expulsa dos resultats. Cada un és perfectament vàlid en matemàtiques. El problema és que en física alguns resultats són impossibles i, per tant, cal aplicar la lògica per descartar-ne un (a condició que sigui necessari).

(Per a més informació, consulteu el vídeo explicatiu).


Equació de segon grau sense el terme “b”

Aquesta equació és la més simple de totes. Cal passar la “c” a l'altra banda en negatiu. Posteriorment, passa la “a”, dividint la “c”.  Finalment, passa el quadrat de la incògnita com a arrel quadrada al resultat de la divisió.

Cal tenir en compte que si volem que el resultat sigui un nombre real cal que la “c” sigui un nombre negatiu. En cas de no ser així, ens donaria un nombre complex, cosa que aquí no treballem.

Heu de tenir en compte que aquesta fórmula expulsa dos resultats. Cada un és perfectament vàlid en matemàtiques. El problema és que en física alguns resultats són impossibles i, per tant, cal aplicar la lògica per descartar-ne un (a condició que sigui necessari).

Equació de 2n grau completa.

Equació de segon grau sense el terme “b”.

Equació de segon grau sense el terme “c”.


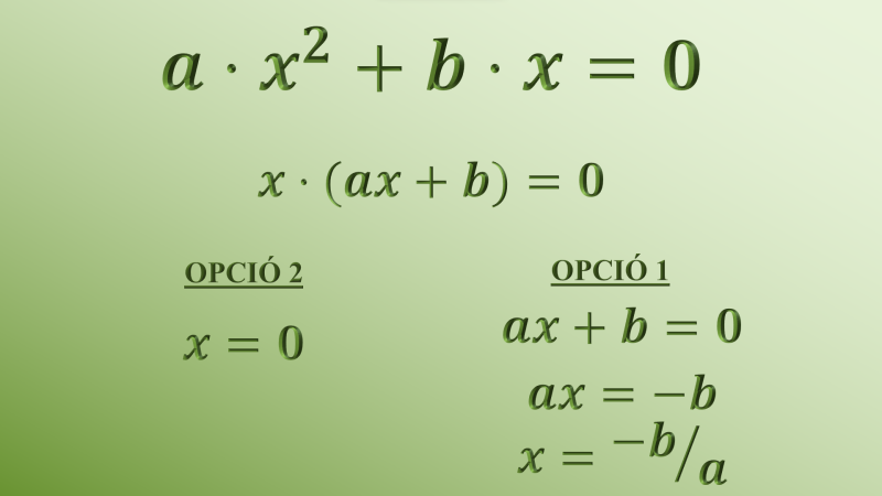
Equació de segon grau sense el terme “c”

Per resoldre aquesta equació és necessari extreure factor comú (teniu un vídeo que explica com es fa el factor comú al final de les imatges), deixant la incògnita sols fora del parèntesi. Un cop fet això, hem de tenir clar que un dels dos termes ha de donar zero. Una opció és la “x”. L'altre, és la suma/resta que hi ha dins del parèntesi. Llavors igualem aquesta petita operació a zero i aïllem la “x” per trobar el seu valor.

Cal tenir en compte que aquí tenim dos resultats possibles: el zero i un altre. Tot i que tots dos són vàlids en matemàtiques, un pot ser impossible en física. Per això cal aplicar la lògica per deduir quin resultat és correcte i quin no.

Crea tu propia página web con Webador